Depozitlərdə dollarlaşma aşağı düşür
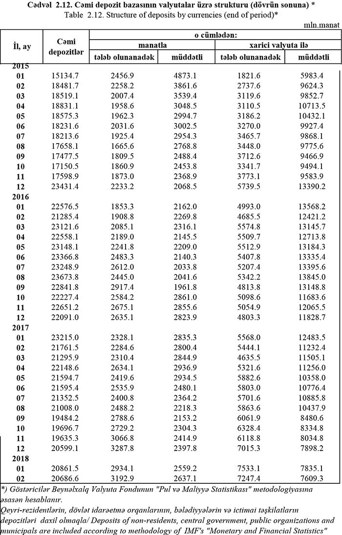
2018-ci ilin Fevral ayının sonuna banklarda cəmi depozitlər 20 milyard 686.6 milyon manat təşkil edib.
"Marja" Mərkəzi Bankın statistikasına istinadən xəbər verir ki, depozitərin 5 milyard 830 milyon manatı və ya 28,2%-i milli valyutada, 14 milyard 856,7 milyon manatı və ya 71,8%-i xarici valyutada olub.
Yanvar ayında bu nisbətlər müvafiq olaraq 26,3% və 73,7% təşkil etmişdi.
Müştərilərin xəbərləri
Türkiyə, Gürcüstan, Özbəkistan kimi ölkələrə gedənlərin nəzərinə: gözlənilməz xərclərə hazırlıqlı olun!
SON XƏBƏRLƏR
- 1 ay sonra
- 6 gün sonra
- 3 gün sonra
-
-
12 saat əvvəl
"PRİOR LEASING"in istiqrazlarına 56 investor 56 sifariş təqdim edib
-
12 saat əvvəl
Bakı metrosundan “BakuBus” “Bakı Taksi Xidməti”nin ona qoşulması barədə açıqlama
-
13 saat əvvəl
"Jetour" avtomobillərinin Azərbaycanda istehsalına başlanılıb
-
13 saat əvvəl
"Azərmaş Group" istiqraz buraxılışı yolu ilə 10 milyon dollar borc alır
-
13 saat əvvəl
“Trendyol Plus” Azərbaycanda: 10 ödənişsiz çatdırılma və xüsusi endirimlər
-
13 saat əvvəl
Ziraat Bank Azərbaycan “Human vs AI” mövzusunda tədbirə dəstək olub
- 13 saat əvvəl
-
13 saat əvvəl
San-Marino da Azərbaycandan təbii qaz almaq istəyir - SOCARDA GÖRÜŞ
-
14 saat əvvəl
Xalq Bank irihəcmli beynəlxalq sindikativ kredit layihəsində iştirak etdi
Son Xəbərlər
Azvak.az-da yeni iş elanları
Türkiyə, Gürcüstan, Özbəkistan kimi ölkələrə gedənlərin nəzərinə: gözlənilməz xərclərə hazırlıqlı olun!
55 manatdan bank səhmdarı olmaq fürsəti: SON 6 GÜN
"PRİOR LEASING"in istiqrazlarına 56 investor 56 sifariş təqdim edib
"Jetour" avtomobillərinin Azərbaycanda istehsalına başlanılıb
Ziraat Bank Azərbaycan “Human vs AI” mövzusunda tədbirə dəstək olub
Ən çox oxunanlar
Dolların sabah üçün rəsmi məzənnəsi müəyyən olunub
San-Marino da Azərbaycandan təbii qaz almaq istəyir - SOCARDA GÖRÜŞ
“Alp Delux” şadlıq evinin ətlərində at DNT-si aşkarlanıb
“BakuBus” və “Bakı Taksi Xidməti” ləğv edilir
“Bakı Metropoliteni” yenidən təşkil ediləcək - FƏRMAN
"İnflyasiya pronozlarının artırılması, növbəti aylarda faizlərin də artırılacağı demək deyil"















.jpg)







