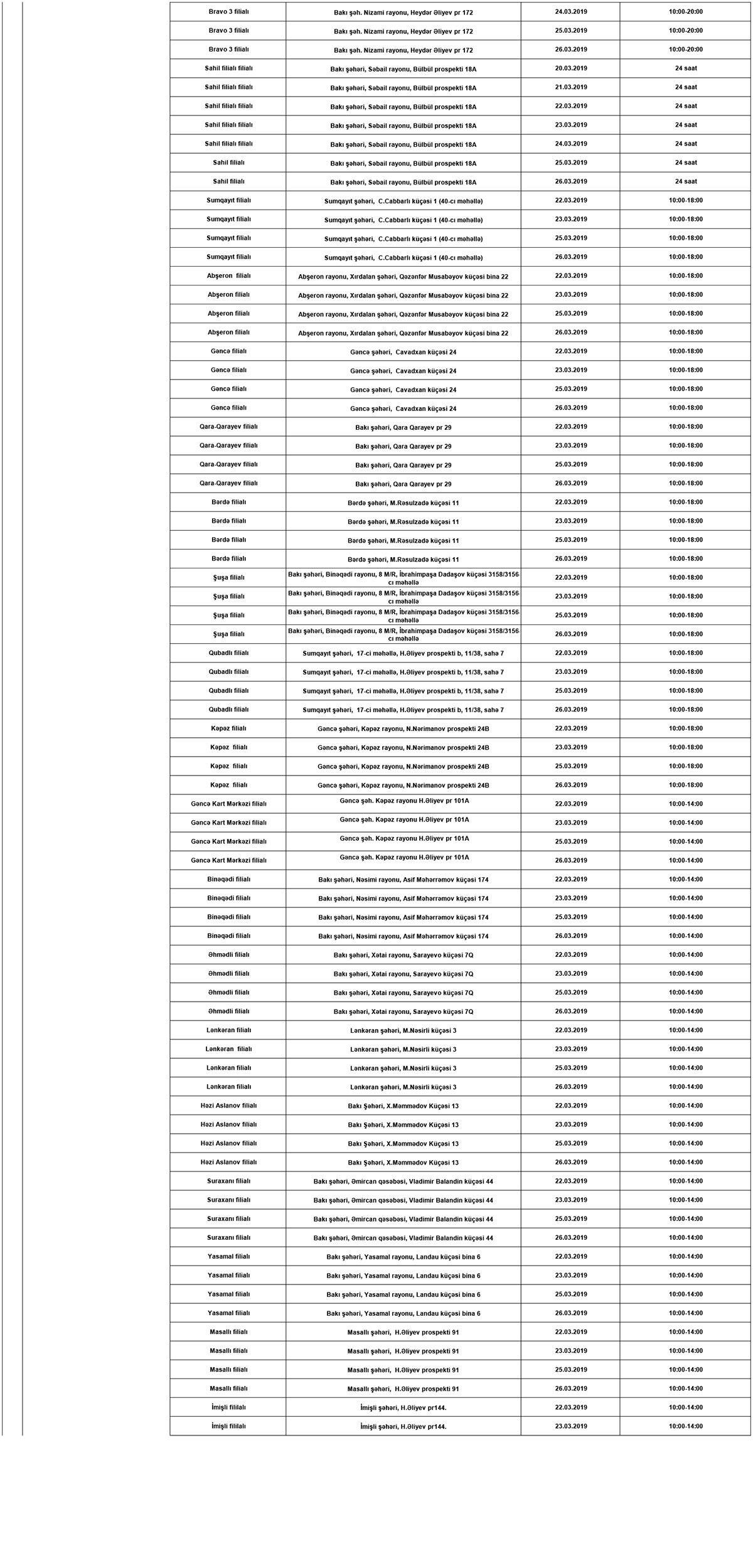
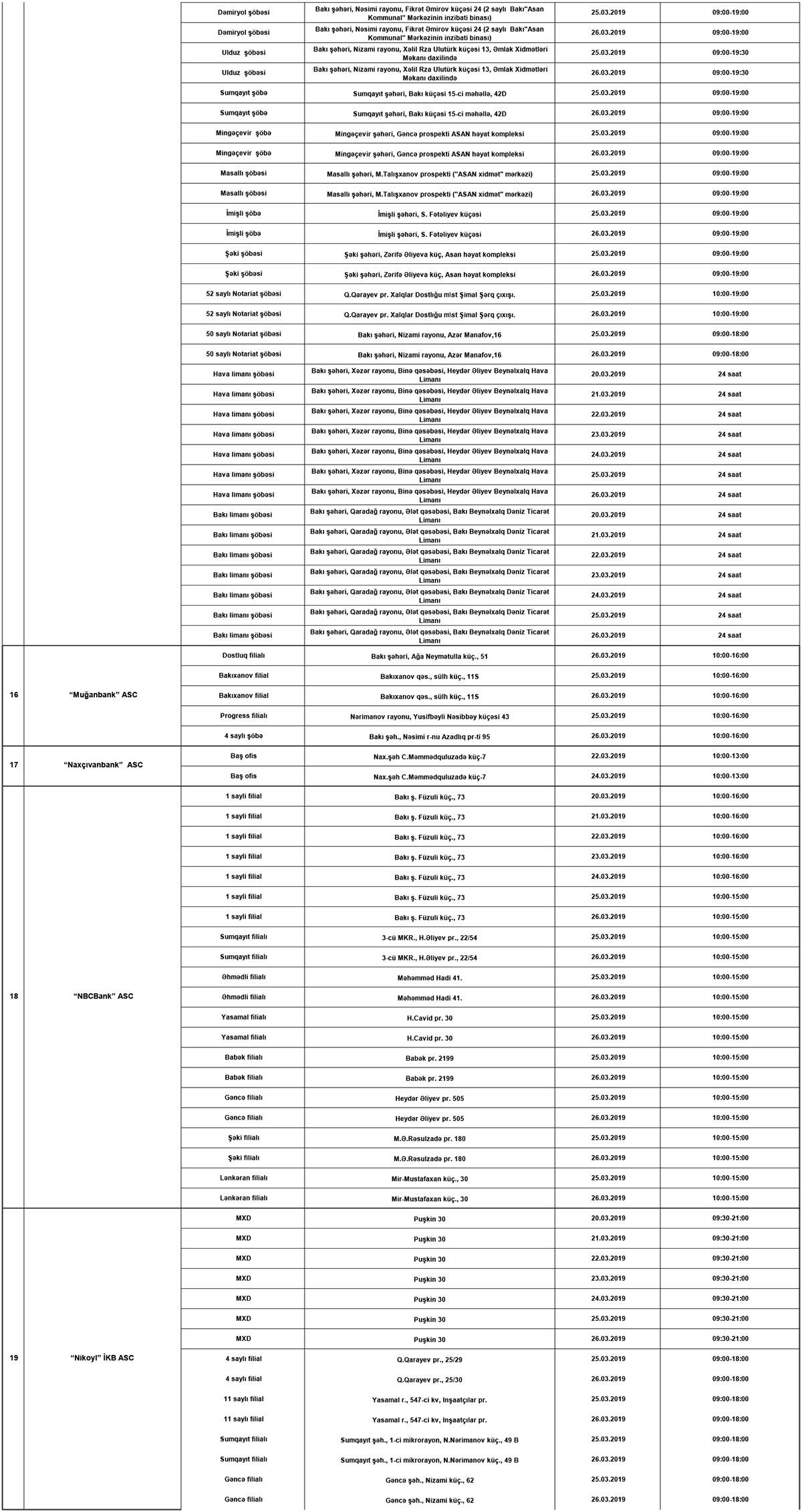
24 bankın 152 filial və şöbəsi gücləndirilmiş iş rejimində çalışacaq - SİYAHI
Ölkə əhalisinin və çoxsaylı turistlərin Novruz bayramı ilə əlaqədar qeyri-iş günləri ərzində bank xidmətlərindən rahat faydalanmasının təmin edilməsi məqsədilə 24 bankın 152 filial və şöbəsi gücləndirilmiş iş rejimində çalışacaq.
Bu barədə "Marja" Maliyyə Bazarlarına Nəzarət Palatasından bildirilib.
Bayram günləri ərzində ölkəmizə əhəmiyyətli turist axınının olacağını nəzərə alaraq onların valyuta mübadiləsi əməliyyatlarını rahat həyata keçirə bilmələri üçün Maliyyə Bazarlarına Nəzarət Palatası paytaxtda və əsas turizm bölgələrində yerləşən bankların filial və şöbələrinə gücləndirilmiş iş rejimində çalışmağı tövsiyə edib.
5 bankın Sumqayıt, Xırdalan, Gəncə, Lənkəran, Şəki, Xaçmaz, Quba, Bərdə, Naxçıvan və digər şəhərlərdə yerləşən 46 filial və şöbəsi müştərilərə xidmət göstərəcək.
Bakıda yerləşən 8 bankın 13 filial və şöbəsi 24/7 rejimində fəaliyyət göstərəcək.
Bundan əlavə, bayram günlərində Palatanın əməkdaşlarından ibarət xüsusi monitorinq qrupu fəaliyyət göstərəcək. Yarana biləcək hər hansı bir problemlə bağlı maliyyə xidmətləri istehlakçıları Palatada yaradılmış qaynar xəttə müraciət edə bilərlər:
Koordinator:
Azər Quluyev
Tel: 493-50-58 (dax:357);
Mob: +994 70 908 62 21
Mail: [email protected]
20-26 mart tarixlərində çalışacaq bank filial və şöbələrinin siyahısı və ünvanları
Müştərilərin xəbərləri
SON XƏBƏRLƏR
- 3 ay sonra
-
21 saat əvvəl
Naxçıvan sahibkarlarından Prezident İlham Əliyevə minnətdarlıq məktubu
-
21 saat əvvəl
"Binanın bir mərtəbəsinin müğənniyə hədiyyə edilməsi ilə bağlı" xəbərə “Kristal”dan reaksiya
-
-
1 gün əvvəl
"Bizim valyuta ehtiyatlarımız tarixi rekord həddə çatıb - xarici borcumuzu 16 dəfə üstələyir"
- 2 gün əvvəl
-
2 gün əvvəl
GROUPMOTORS Yeni İldə əməkdaşlarını Sportcar ilə mükafatlandırdı
-
2 gün əvvəl
Marja.az oxucularını və tərəfdaşlarını Yeni il münasibətilə təbrik edir!
-
2 gün əvvəl
Mərkəzi Bank 2026-cı ilin ilk iş gününün rəsmi məzənnəsini açıqladı
- 2 gün əvvəl
- 2 gün əvvəl
- 2 gün əvvəl
-
2 gün əvvəl
Dövlət şirkətlərini və publik hüquqi şəxsləri monitorinq edəcək agentlik yaradıldı - FƏRMAN
Son Xəbərlər
Azərbaycanda Vakansiyalar - Azvak.az
GROUPMOTORS Yeni İldə əməkdaşlarını Sportcar ilə mükafatlandırdı
Mərkəzi Bank 2026-cı ilin ilk iş gününün rəsmi məzənnəsini açıqladı
6,3 milyard manatlıq defisiti olan "Azərbaycan Dəmir Yolları" 331 investordan 30 milyon dollar borc aldı
"Hazırda yumurta Gürcüstanda 43 qəpiyə, Türkiyədə 33 qəpiyə, Azərbaycanda isə 16-19 qəpiyə satılır. Nəticələr, çox əladır"
“Azercell Könüllüləri” uşaqlara bayram sevinci yaşadıb
Dövlət şirkətlərini və publik hüquqi şəxsləri monitorinq edəcək agentlik yaradıldı - FƏRMAN
"Qızıl Fond üçün 11 milyard dollar gəlir formalaşdırıb" - AZƏRBAYCAN FONDUNUN DİREKTORU
Azad edilmiş ərazilərdə bir sıra obyektlər üçün elektrikə qoşulma xidməti pulsuz oldu
Dünya Bankı qiymətləndirməsində Azərbaycanın maliyyə xidmətləri üzrə 101 ölkə arasında zirvədə





















